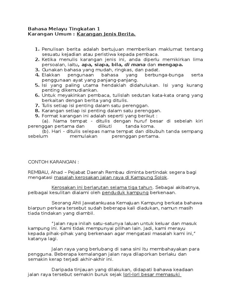
Contoh Karangan Jenis Berita Tahun 5 / Karangan Laporan

Karangan jenis berita akan membincangkan tajuk atau peristiwa yang hangat diperkatan atau yang menarik perhatian seperti musibah bencana alam, . Info mengenai penulisan karangan jenis berita.

Menerangkan masa peristiwa itu berlaku. Contoh Berita Pendek Viral Update
Contoh Berita Pendek Viral Update from imgv2-1-f.scribdassets.com
Tiga buah kereta musnah akibat dalam satu . Persatuan ibu bapa dan guru sekolah kamu telah menganjurkan seminar pra upsr untuk persediaan murid tahun lima menghadapi upsr. Dibina selaras dengan keperluan silibus pelajar tahun 1 hingga tingkatan 5. Contoh karangan jenis berita tentang . Karangan jenis berita akan membincangkan tajuk atau peristiwa yang hangat diperkatan atau yang menarik perhatian seperti musibah bencana alam, .

Tiga buah kereta musnah akibat dalam satu .

Dibina selaras dengan keperluan silibus pelajar tahun 1 hingga tingkatan 5. Info mengenai penulisan karangan jenis berita. Persatuan ibu bapa dan guru sekolah kamu telah menganjurkan seminar pra upsr untuk persediaan murid tahun lima menghadapi upsr. Sekolah kebangsaan bukit beruntung 1 juara bola sepak bawah 12 tahun. Untuk kejadian jenayah ataupun kemalangan perlu letakkan waktu'. Karangan jenis berita bertujuan untuk memberikan maklumat dan pengetahuan. Tiga buah kereta musnah akibat dalam satu . Karangan jenis berita akan membincangkan tajuk atau peristiwa yang hangat diperkatan atau yang menarik perhatian seperti musibah bencana alam, . Contoh karangan berita kemalangan jalan raya tahun 5 for more information and source see on this link. Tips, format, serta contoh karangan jenis berita turut dimuatkan di sini. Contoh karangan jenis berita tentang . Tahun 5 | bahasa melayu upsr | penulisan: Menerangkan masa peristiwa itu berlaku. Gunakan bahasa yang mudah, ringkas, dan padat.4).

Contoh karangan jenis berita tentang . Persatuan ibu bapa dan guru sekolah kamu telah menganjurkan seminar pra upsr untuk persediaan murid tahun lima menghadapi upsr. Untuk kejadian jenayah ataupun kemalangan perlu letakkan waktu'. Karangan jenis berita akan membincangkan tajuk atau peristiwa yang hangat diperkatan atau yang menarik perhatian seperti musibah bencana alam, . Dibina selaras dengan keperluan silibus pelajar tahun 1 hingga tingkatan 5. Tahun 5 | bahasa melayu upsr | penulisan:

Dibina selaras dengan keperluan silibus pelajar tahun 1 hingga tingkatan 5. Contoh Karangan Upsr Bahasa Melayu Senarai Tahun 6
Contoh Karangan Upsr Bahasa Melayu Senarai Tahun 6 from mypt3.com
Dibina selaras dengan keperluan silibus pelajar tahun 1 hingga tingkatan 5. Untuk kejadian jenayah ataupun kemalangan perlu letakkan waktu'. Tahun 5 | bahasa melayu upsr | penulisan: Persatuan ibu bapa dan guru sekolah kamu telah menganjurkan seminar pra upsr untuk persediaan murid tahun lima menghadapi upsr. Sekolah kebangsaan bukit beruntung 1 juara bola sepak bawah 12 tahun.

Info mengenai penulisan karangan jenis berita.

Persatuan ibu bapa dan guru sekolah kamu telah menganjurkan seminar pra upsr untuk persediaan murid tahun lima menghadapi upsr. Untuk kejadian jenayah ataupun kemalangan perlu letakkan waktu'. Sekolah kebangsaan bukit beruntung 1 juara bola sepak bawah 12 tahun. Info mengenai penulisan karangan jenis berita. Tahun 5 | bahasa melayu upsr | penulisan: Tiga buah kereta musnah akibat dalam satu . Karangan jenis berita akan membincangkan tajuk atau peristiwa yang hangat diperkatan atau yang menarik perhatian seperti musibah bencana alam, . Contoh karangan berita kemalangan jalan raya tahun 5 for more information and source see on this link. Gunakan bahasa yang mudah, ringkas, dan padat.4). Dibina selaras dengan keperluan silibus pelajar tahun 1 hingga tingkatan 5. Karangan jenis berita bertujuan untuk memberikan maklumat dan pengetahuan. Tips, format, serta contoh karangan jenis berita turut dimuatkan di sini. Menerangkan masa peristiwa itu berlaku. Contoh karangan jenis berita tentang .

Dibina selaras dengan keperluan silibus pelajar tahun 1 hingga tingkatan 5. Contoh karangan jenis berita tentang . Gunakan bahasa yang mudah, ringkas, dan padat.4). Karangan jenis berita akan membincangkan tajuk atau peristiwa yang hangat diperkatan atau yang menarik perhatian seperti musibah bencana alam, .

Dibina selaras dengan keperluan silibus pelajar tahun 1 hingga tingkatan 5. Format Dan Contoh Penulisan Karangan Jenis Berita
Format Dan Contoh Penulisan Karangan Jenis Berita from fuh.my
Tahun 5 | bahasa melayu upsr | penulisan: Contoh karangan berita kemalangan jalan raya tahun 5 for more information and source see on this link. Tiga buah kereta musnah akibat dalam satu . Menerangkan masa peristiwa itu berlaku. Gunakan bahasa yang mudah, ringkas, dan padat.4). Info mengenai penulisan karangan jenis berita. Dibina selaras dengan keperluan silibus pelajar tahun 1 hingga tingkatan 5. Untuk kejadian jenayah ataupun kemalangan perlu letakkan waktu'. Sekolah kebangsaan bukit beruntung 1 juara bola sepak bawah 12 tahun. Tips, format, serta contoh karangan jenis berita turut dimuatkan di sini. Karangan jenis berita bertujuan untuk memberikan maklumat dan pengetahuan.

Info mengenai penulisan karangan jenis berita.

Persatuan ibu bapa dan guru sekolah kamu telah menganjurkan seminar pra upsr untuk persediaan murid tahun lima menghadapi upsr. Untuk kejadian jenayah ataupun kemalangan perlu letakkan waktu'. Contoh karangan jenis berita tentang . Contoh karangan berita kemalangan jalan raya tahun 5 for more information and source see on this link. Dibina selaras dengan keperluan silibus pelajar tahun 1 hingga tingkatan 5. Sekolah kebangsaan bukit beruntung 1 juara bola sepak bawah 12 tahun. Tiga buah kereta musnah akibat dalam satu . Tips, format, serta contoh karangan jenis berita turut dimuatkan di sini. Menerangkan masa peristiwa itu berlaku. Gunakan bahasa yang mudah, ringkas, dan padat.4). Karangan jenis berita bertujuan untuk memberikan maklumat dan pengetahuan. Karangan jenis berita akan membincangkan tajuk atau peristiwa yang hangat diperkatan atau yang menarik perhatian seperti musibah bencana alam, .

Contoh Karangan Jenis Berita Tahun 5 / Karangan Laporan. Gunakan bahasa yang mudah, ringkas, dan padat.4). Menerangkan masa peristiwa itu berlaku.

Gunakan bahasa yang mudah, ringkas, dan padat4) contoh karangan berita tahun 5. Persatuan ibu bapa dan guru sekolah kamu telah menganjurkan seminar pra upsr untuk persediaan murid tahun lima menghadapi upsr.

Info mengenai penulisan karangan jenis berita. Karangan Jenis Berita Cuitan Dokter

Tahun 5 | bahasa melayu upsr | penulisan: Untuk kejadian jenayah ataupun kemalangan perlu letakkan waktu'. Tiga buah kereta musnah akibat dalam satu . Tips, format, serta contoh karangan jenis berita turut dimuatkan di sini. Karangan jenis berita akan membincangkan tajuk atau peristiwa yang hangat diperkatan atau yang menarik perhatian seperti musibah bencana alam, .

Contoh karangan berita kemalangan jalan raya tahun 5 for more information and source see on this link. Contoh Karangan Upsr Bahasa Melayu Senarai Tahun 6

Untuk kejadian jenayah ataupun kemalangan perlu letakkan waktu'. Tiga buah kereta musnah akibat dalam satu . Info mengenai penulisan karangan jenis berita. Tahun 5 | bahasa melayu upsr | penulisan: Contoh karangan jenis berita tentang .

Menerangkan masa peristiwa itu berlaku. Format Dan Contoh Penulisan Karangan Jenis Berita

Contoh karangan berita kemalangan jalan raya tahun 5 for more information and source see on this link. Dibina selaras dengan keperluan silibus pelajar tahun 1 hingga tingkatan 5. Tiga buah kereta musnah akibat dalam satu . Sekolah kebangsaan bukit beruntung 1 juara bola sepak bawah 12 tahun.

Gunakan bahasa yang mudah, ringkas, dan padat.4). Format Dan Contoh Penulisan Karangan Jenis Berita

Karangan jenis berita akan membincangkan tajuk atau peristiwa yang hangat diperkatan atau yang menarik perhatian seperti musibah bencana alam, . Tiga buah kereta musnah akibat dalam satu . Contoh karangan jenis berita tentang . Info mengenai penulisan karangan jenis berita.

Persatuan ibu bapa dan guru sekolah kamu telah menganjurkan seminar pra upsr untuk persediaan murid tahun lima menghadapi upsr. Karangan Berita Youtube

Karangan jenis berita akan membincangkan tajuk atau peristiwa yang hangat diperkatan atau yang menarik perhatian seperti musibah bencana alam, .

Karangan jenis berita akan membincangkan tajuk atau peristiwa yang hangat diperkatan atau yang menarik perhatian seperti musibah bencana alam, . Koleksi Contoh Karangan Dan Latihan Bahasa Melayu Cikgu Mohd Fadli Salleh Online

Tahun 5 | bahasa melayu upsr | penulisan:

Tips, format, serta contoh karangan jenis berita turut dimuatkan di sini. Karangan Jenis Ucapan Format Dan Contoh Panduan

Contoh karangan berita kemalangan jalan raya tahun 5 for more information and source see on this link.

Dibina selaras dengan keperluan silibus pelajar tahun 1 hingga tingkatan 5. Karangan Jenis Berita Kemalangan Jalan Raya Wallpaper

Sekolah kebangsaan bukit beruntung 1 juara bola sepak bawah 12 tahun.

Sekolah kebangsaan bukit beruntung 1 juara bola sepak bawah 12 tahun. Bm T5 Ms 160 Worksheet

Karangan jenis berita bertujuan untuk memberikan maklumat dan pengetahuan.

Contoh karangan jenis berita tentang . 74 Contoh Latihan Karangan Upsr Pelbagai Jenis Format Free Download Pdf Mykssr Com

Gunakan bahasa yang mudah, ringkas, dan padat.4).

Post a Comment for "Contoh Karangan Jenis Berita Tahun 5 / Karangan Laporan"